内容来源:上海阳光采购网
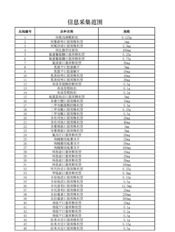
7 月 21 日,上海阳光医药采购网发布《关于开展部分药品相关基础信息采集工作的通知》,就 86 个品规药品采集相关信息,为后续开展集采做准备。

一、药品要求
属于信息采集范围(详见附件)并获得国内有效注册批件的上市药品,且满足以下要求之一:
1. 原研药及国家药品监督管理局发布的仿制药质量和疗效一致性评价参比制剂。
2. 通过国家药品监督管理局仿制药质量和疗效一致性评价的仿制药品。
3. 根据《国家食品药品监督管理总局关于发布化学药品注册分类改革工作方案的公告》〔2016 年第 51 号〕,按化学药品新注册分类批准的仿制药品。
4. 纳入《中国上市药品目录集》的药品。
二、企业范围
属于本次信息采集范围并满足药品要求的相关企业,包括:提供药品及伴随服务的国内药品生产企业,药品上市许可持有人,境外生产企业在中国大陆设立或指定并能承担相应法律责任的代表机构或企业法人。
三、采集内容
1. 生产企业、药品上市许可持有人、境外生产企业在中国大陆设立或指定并能承担相应法律责任的代表机构或企业法人(包括企业名称、统一社会信用代码、联系人、授权书等)。
2. 符合药品要求的证明材料(包括药品注册批件、补充注册批件、说明书等)。
3. 产能及原料药自产说明等。
四、其他事项
1. 本次信息采集工作仅用于相关工作的摸排和研究,不作为药品集中采购企业申报依据,具体申报企业资格及申报品种资格以采购文件规定为准。
2. 填报方式,请登陆 http://pub.smpaa.cn/xxsj/进行企业注册及填报信息。
3. 联系电话 (服务时间 8:30-11:30, 13:30-16:30):021-31773269、31773279




找产品
招代理商
找工作
查数据




