近日,山西省食药监局发布“2016年第1期《药品质量公告》”,共有18批药品不合格。其中,中药饮片高达16批次,药物制剂为2批次的黄连上清片,不合格项目主要为溶散时限、性状、含量测定等。
山西省食药监局要求各市药监部门对上述不合格药品的生产、经营、使用单位的行为依法予以查处;对标注的假药要追查来源去向,严惩制假售假行为;对公告发布前已查处的单位要加强跟踪监管,对尚未查处的单位和品种要抓紧立案查处;对公告发布后仍然销售和使用不合格药品的单位和行为,要依法从严处理。
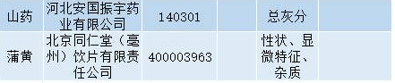
附:18批不合格药品名单



近日,山西省食药监局发布“2016年第1期《药品质量公告》”,共有18批药品不合格。其中,中药饮片高达16批次,药物制剂为2批次的黄连上清片,不合格项目主要为溶散时限、性状、含量测定等。
山西省食药监局要求各市药监部门对上述不合格药品的生产、经营、使用单位的行为依法予以查处;对标注的假药要追查来源去向,严惩制假售假行为;对公告发布前已查处的单位要加强跟踪监管,对尚未查处的单位和品种要抓紧立案查处;对公告发布后仍然销售和使用不合格药品的单位和行为,要依法从严处理。
附:18批不合格药品名单


